Math - 9th class Exercise 5.3 (Pre 2012)

Math - 9th class Exercise 5.3 (Pre 2012)

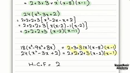
Mathematics br Solution for 9th Class Text Book, Unit 5, Ex:5.3 br According to the syllabus of Punjab Text Book Board, Pakistan. br Edition: March 2010 (Pre 2012) br Topics covered: Factorization, factoring trinomial, factoring by grouping, quadratic, algebra, sum of cubes, difference of cubes br This video is in Urdu to help students of Pakistan. br www.mubasheralam.


User: Mubasher Alam

Views: 11

Uploaded: 2015-06-01

Duration: 32:02