Separable Equation and Integrating Factor Method

Separable Equation and Integrating Factor Method

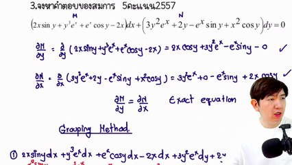
🎓 Separable Equations & Integrating Factor Method | Differential Equations Lecture br br In this detailed lecture, we explore two fundamental methods for solving first-order differential equations: the Separable Equation Method and the Integrating Factor Method. Whether you're a student of mathematics, engineering, or any science-related field, this video will strengthen your understanding of solving differential equations step-by-step.


User: davidnobel

Views: 4

Uploaded: 2025-09-05

Duration: 08:18