Search Videos

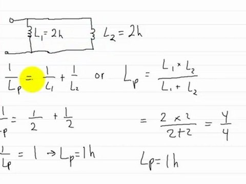
Circuits Inductors Part 2: Parallel

Uploaded: June 1, 2012 Watched: 138

Circuits Inductors Part 1: Series

Uploaded: June 1, 2012 Watched: 38

Understanding Inductors Explained with 3D Animation

Uploaded: October 7, 2024 Watched: 173

John Brownlee Inducted

Uploaded: April 30, 2013 Watched: 3

Three Stooges get Inducted....

Uploaded: July 31, 2014 Watched: 48

5 Inducted Into NASCAR Hall

Uploaded: May 25, 2011 Watched: 1

Emotional Iverson Inducted into HOF

Uploaded: September 10, 2016 Watched: 1

HOF Class Inducted in Cooperstown

Uploaded: July 27, 2015 Watched: 31

Griffey Jr., Piazza Inducted into HOF

Uploaded: July 25, 2016 Watched: 10

Larkin, Santo Inducted into Baseball HOF

Uploaded: July 23, 2012 Watched: 28

WrestleMania XXVI Rowdy Roddy Piper inducts Wendi

Uploaded: December 28, 2016 Watched: 1
Your Page Title