User Profile
User Avatar

CelebritiesInJail

Total Videos: 7

Playlists

Celiac Disease Symptoms Info

Uploaded: June 8, 2012 Views: 18

Children Activities

Uploaded: January 10, 2011 Views: 2

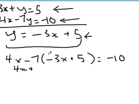
Algebra 1 System of Equations Substitution Method

Uploaded: May 15, 2010 Views: 956

Pre-Algebra Finding LCM Tutorial

Uploaded: May 14, 2010 Views: 1

Pre-Algebra Addition and Subtraction of Decimals

Uploaded: May 14, 2010 Views: 1

Algebra 1 Percentage

Uploaded: May 14, 2010 Views: 1

Algebra 1 Finding the Slope of an Equation

Uploaded: May 14, 2010 Views: 1
Your Page Title