User Profile
User Avatar

Valery Rubin

Total Videos: 63

Playlists

Child Slavery in India

Uploaded: September 13, 2015 Views: 35

AcademIK Connections - Series Introduction

Uploaded: September 13, 2015 Views: 3

Christmas at INTO Manchester

Uploaded: September 13, 2015 Views: 18

Creating the common ground to deep learning through dialogue

Uploaded: September 13, 2015 Views: 2

Expert on the Spot - Answers: Iran and Nuclear Weapons

Uploaded: September 13, 2015 Views: 13

İsmail Biçer / Gazi Hüsrev Bey Camii

Uploaded: September 9, 2015 Views: 1

Photosynthesis (Light Reactions)

Uploaded: September 8, 2015 Views: 6

La gestión del tiempo

Uploaded: September 5, 2015 Views: 324

Acids and Bases in Organic Chemistry

Uploaded: September 3, 2015 Views: 5

Sturm über Europa - Folge 01 - Kimbern und Teutonen

Uploaded: September 1, 2015 Views: 86

How to Get Back your old yahoo Email Account

Uploaded: August 20, 2015 Views: 1

The Winter's Tale Summary Part 1 by William Shakespeare

Uploaded: August 16, 2015 Views: 22

Kline Family on Family Feud

Uploaded: August 6, 2015 Views: 1,939

Gone With The Wind Parody - Carol Burnett

Uploaded: July 26, 2015 Views: 5

BTS NRC Diaporama E6 Présentation de l'entreprise

Uploaded: July 25, 2015 Views: 54

El Vuelo de los gansos

Uploaded: July 23, 2015 Views: 1

Free and Fair Trade

Uploaded: July 21, 2015 Views: 1

Prematuros en la unidad de Neonatología en la Paz

Uploaded: July 18, 2015 Views: 34

中国語会話 2006年度 第1課①

Uploaded: July 17, 2015 Views: 10

TEOREMA DE PITAGORAS

Uploaded: June 20, 2015 Views: 3

Documental: Puerto Rico Bajo Análisis Ovni - 2/6

Uploaded: June 11, 2015 Views: 2

Geography...or should I say, lack of geography?

Uploaded: June 11, 2015 Views: 2

Discovery Kids - Wilbur - Taking turn is fun

Uploaded: June 11, 2015 Views: 1,318

2014 Salem High School - Bullying

Uploaded: June 4, 2015 Views: 1

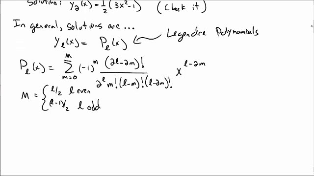
Legendre Polynomials

Uploaded: June 4, 2015 Views: 1

Organic chemistry: R and S naming (8)

Uploaded: May 30, 2015 Views: 7

Fritjof Capra. El Tao de la Física I.

Uploaded: May 29, 2015 Views: 4

imam ali (3)إمام علي mowaal

Uploaded: May 29, 2015 Views: 1

Domain and Range of a Function

Uploaded: May 28, 2015 Views: 1
Your Page Title