User Profile
User Avatar

Maths Proofs Videos

Total Videos: 81

Derive the most popular mathematical formulas, used in GCSE and A Level mathematics - from absolute scratch.

Playlists

Isometric Tessellation Art by Tiago Hands

Uploaded: February 25, 2019 Views: 10

a^(log_a(x)) = x [short proof]

Uploaded: September 23, 2016 Views: 4

a^x differentiated, implicit differentiation version

Uploaded: September 23, 2016 Views: 10

e^x differentiated, implicit differentiation version

Uploaded: September 23, 2016 Views: 4

tan(kθ) differentiated, chain rule version

Uploaded: September 23, 2016 Views: 2

cos(kθ) differentiated, chain rule version

Uploaded: September 23, 2016 Views: 2

sin(kθ) differentiated, chain rule version

Uploaded: September 23, 2016 Views: 3

sin(2θ)=2sin(θ)cos(θ) PROOF

Uploaded: September 23, 2016 Views: 1,698

cos(2θ)=(cos(θ))^2-(sin(θ))^2 PROOF

Uploaded: September 23, 2016 Views: 541

sin(A-B)=sin(A)cos(B)-cos(A)sin(B) proof - GEOMETRICAL PROOF

Uploaded: September 22, 2016 Views: 153

The Nature of the Ellipse Expanding Mathematical Awareness

Uploaded: September 18, 2016 Views: 3

0 to 3 Dimensions Explained (Using Drag Method)

Uploaded: May 6, 2015 Views: 2

Prove that log_a_(x) = 1 / {log_x_(a)}

Uploaded: April 13, 2015 Views: 2

If y=secx, dy/dx=secxtanx (Implicit Differentiation Proof)

Uploaded: January 21, 2015 Views: 559

Mathematical Singularity In 3 Dimensions Demystified

Uploaded: January 21, 2015 Views: 2

log(xp)=logx+logp (PROOF)

Uploaded: January 18, 2015 Views: 2

If y=e^x, dy/dx=e^x (Implicit Differentiation Proof)

Uploaded: January 18, 2015 Views: 74

log(xp)=logx+logp (PROOF)

Uploaded: January 18, 2015 Views: 8

If y=a^x, dy/dx=a^xlna (Implicit Differentiation Proof)

Uploaded: January 18, 2015 Views: 647

How To Find 0.083333333333333.... As A Fraction

Uploaded: August 29, 2014 Views: 66

tan(A+B)=(tanA+tanB)/(1-tanAtanB) - Real Proof

Uploaded: July 5, 2014 Views: 55

(a+b)(a+b) = a^2 + 2ab + b^2 (Real Proof Revealed)

Uploaded: May 17, 2014 Views: 24

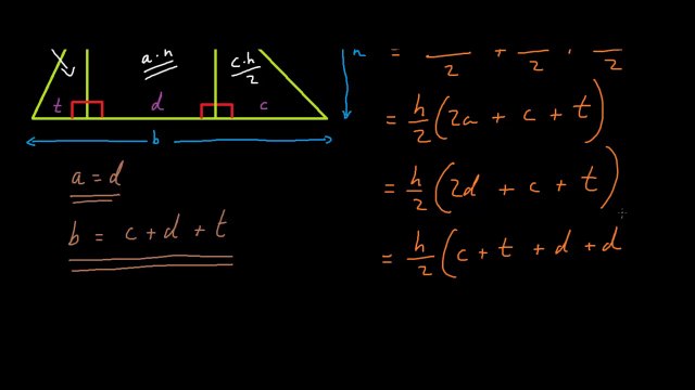
How To Derive The Trapezium Rule Formula From Scratch

Uploaded: May 16, 2014 Views: 300
Your Page Title