User Profile
User Avatar

Saameer Mody

Total Videos: 957

Pocketgyan - Bringing the classroom to you. <br />Video tutorials helping students find solutions to problems for Physics, Chemistry and Maths for engineering and CBSE +2 (equivalent to A Level) students

Playlists

Use of sum of co-efficient of Binomial Expansion

Uploaded: August 18, 2011 Views: 1

Using Summation ^nCr 2^r

Uploaded: August 18, 2011 Views: 88

Grouping terms of a multinomial to form a Binomial

Uploaded: August 18, 2011 Views: 76

Use of ^nCr = ^nCn-r

Uploaded: August 18, 2011 Views: 2

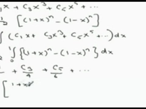
Integration of a Binomial Expansion

Uploaded: August 18, 2011 Views: 2

Selection & Permutation

Uploaded: August 18, 2011 Views: 27

Use of Combination in finding divisors

Uploaded: August 18, 2011 Views: 38

Grouping Theory

Uploaded: August 18, 2011 Views: 43

Forming Triangles by selection process

Uploaded: August 18, 2011 Views: 12
Your Page Title