User Profile
User Avatar

rehmanfayyaz

Total Videos: 29

Playlists

Vectors (Calculus - Lecture 24 - Pervez Hoodbhoy)

Uploaded: November 6, 2014 Views: 4

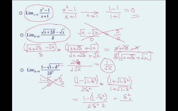
Limits (Calculus - English - Lecture 4 - Pervez Hoodbhoy)

Uploaded: November 6, 2014 Views: 5
Your Page Title