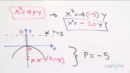
Ecuación de la parábola que pasa por un punto

Ecuación de la parábola que pasa por un punto

VISITA: br FB: br Google+: br (Video explicado por Jose Andalón)


User: Math2me

Views: 70

Uploaded: 2013-06-28

Duration: 05:02

Your Page Title