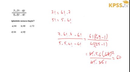
KpssTv | 2009 Kpss Lisans - Genel Kültür 2. Soru

KpssTv | 2009 Kpss Lisans - Genel Kültür 2. Soru

KpssTv | 2009 Kpss Lisans - Genel Kültür 2.


User: kpsstv

Views: 158

Uploaded: 2013-07-27

Duration: 00:47

Your Page Title