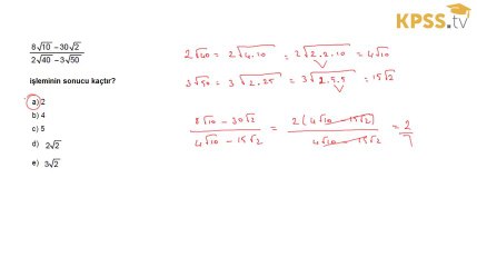
KpssTv | 2012 Kpss Lisans - Genel Yetenek 3. Soru

KpssTv | 2012 Kpss Lisans - Genel Yetenek 3. Soru

KpssTv | 2012 Kpss Lisans - Genel Yetenek 3.


User: kpsstv

Views: 2

Uploaded: 2013-07-27

Duration: 02:05

Your Page Title