FSc Math Book2, Ex 2.3, LEC 9: Q 1-5

FSc Math Book2, Ex 2.3, LEC 9: Q 1-5

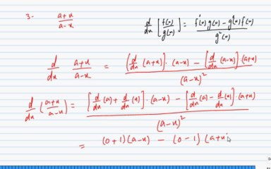
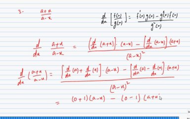
This video lecture from Differentiation (F.Sc. second year Mathematics) covers: Question 1-5 of exercise 2.3. In this question we find derivative of functions by using theorems of differentiation. Find more e-learning material and educational video lectures in Urdu at maktab.pk. These videos are free to use for promotional and commercial purpose by keeping the credits to Maktab.


User: Maktab .pk

Views: 57

Uploaded: 2013-11-04

Duration: 27:41

Your Page Title