Análisis de Circuitos con Diodos II

Análisis de Circuitos con Diodos II

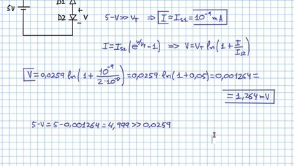
Segundo ejemplo sobre cómo analizar un circuito que contenga diodos.


User: Sabio Online

Views: 10

Uploaded: 2014-02-15

Duration: 09:06