Problema Energía potencial, cálculo Energía mecánica

Problema Energía potencial, cálculo Energía mecánica

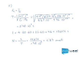
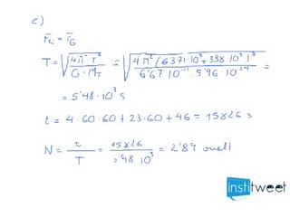
Si los vídeos te sirven de ayuda y quieres que continúe haciendo más ejercicios Suscríbete, dale a Me Gusta! y visita nuestra web . br br Enunciado del ejercicio resuelto: br Un satélite de masa m describe una trayectoria circular de radio R br en torno a un planeta de masa M. La energía mecánica del satélite es numéricamente: br a) Igual a la mitad de su energía potencial. br b) Igual a su energía potencial. br c) Igual al doble de su energía potencial.


User: Institweet

Views: 107

Uploaded: 2014-04-08

Duration: 03:41

Your Page Title