Ejercicio Calculo campo gravitatorio ejercido por la tierra

Ejercicio Calculo campo gravitatorio ejercido por la tierra

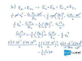
Si los vídeos te sirven de ayuda y quieres que continúe haciendo más ejercicios Suscríbete, dale a Me Gusta! y visita nuestra web . br br Enunciado del ejercicio resuelto: br Un satélite de masa 350 kg describe órbitas circulares alrededor br de la Tierra a una altura de 630 km. br a) ¿Cuánto vale la intensidad del campo gravitatorio creado por la Tierra a esta altura? br b) ¿Cuánto vale la aceleración centrípeta del satélite? br c) ¿Cuánto vale la energía mecánica del satélite? br Datos: RT = 6,38 ⋅ 106 m; MT = 5,98 ⋅ 1024 kg; br G = 6,67 ⋅ 10−11 N ⋅ m2 ⋅ kg−2.


User: Institweet

Views: 34

Uploaded: 2014-04-17

Duration: 06:41

Your Page Title