FSc Math Book1, Ch 9, LEC 13: Values of Trigonometric Functions of Quadrantal Angles 0,90,180,270, 360

FSc Math Book1, Ch 9, LEC 13: Values of Trigonometric Functions of Quadrantal Angles 0,90,180,270, 360

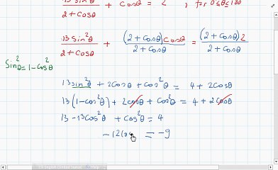
This video lecture from Fundamentals of Trigonometry (F.Sc. first year Mathematics) covers: detailed discussion on the values of trigonometric functions of quadrantal angles 0,90,180,270 and 360 degrees. Find more e-learning material and educational video lectures in Urdu at maktab.pk. These videos are free to use for promotional and commercial purpose by keeping the credits to Maktab.


User: Maktab .pk

Views: 2

Uploaded: 2014-04-16

Duration: 26:01

Your Page Title