Calcula la intensidad de campo magnetico creado por una barra

Calcula la intensidad de campo magnetico creado por una barra

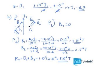
Flujo magnético a través de una superficie.Si los vídeos te sirven de ayuda y quieres que continúe haciendo más ejercicios Suscríbete, dale a Me Gusta! y visita nuestra web . br br Enunciado del ejercicio resuelto: br Una barra metálica de 50 cm se mueve perpendicularmente a un campo magnético uniforme con una velocidad de 4 ms. Se observa que entre los extremos de la barra hay una diferencia de potencial de 0,8 V. br Calcula la intensidad del campo magnético en la zona.


User: Institweet

Views: 44

Uploaded: 2014-05-10

Duration: 01:54

Your Page Title