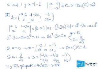
Estudiar el rango de las matrices

Estudiar el rango de las matrices

Rango de una matriz. Si los vídeos te sirven de ayuda y quieres que continúe haciendo más ejercicios Suscríbete, dale a Me Gusta! y visita nuestra web .


User: Institweet

Views: 9

Uploaded: 2014-05-10

Duration: 03:36

Your Page Title