Matemáticas bachillerato. Rango de una matriz

Matemáticas bachillerato. Rango de una matriz

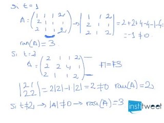
Rango de una matriz. Si los vídeos te sirven de ayuda y quieres que continúe haciendo más ejercicios Suscríbete, dale a Me Gusta! y visita nuestra web . br br Enunciado del ejercicio resuelto: br Estudia el rango de estas matrices y di, en cada caso, el número de columnas que son L.I.


User: Institweet

Views: 11

Uploaded: 2014-05-10

Duration: 04:55

Your Page Title