Matrices y sus operaciones. Matematicas 2º bachillerato

Matrices y sus operaciones. Matematicas 2º bachillerato

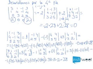
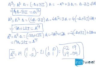
Ecuaciones con matrices. Si los vídeos te sirven de ayuda y quieres que continúe haciendo más ejercicios Suscríbete, dale a Me Gusta! y visita nuestra web .


User: Institweet

Views: 7

Uploaded: 2014-05-10

Duration: 11:30

Your Page Title