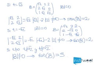
Calcula el rango de estas matrices en función del parámetro t

Calcula el rango de estas matrices en función del parámetro t

Rango de una matriz. Si los vídeos te sirven de ayuda y quieres que continúe haciendo más ejercicios Suscríbete, dale a Me Gusta! y visita nuestra web .


User: Institweet

Views: 28

Uploaded: 2014-05-10

Duration: 06:54

Your Page Title