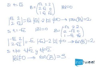
Estudiar el rango de estas matrices según el valor del parámetro a

Estudiar el rango de estas matrices según el valor del parámetro a

Si los vídeos te sirven de ayuda y quieres que continúe haciendo más ejercicios Suscríbete, dale a Me Gusta! y visita nuestra web .


User: Institweet

Views: 5

Uploaded: 2014-05-10

Duration: 06:24

Your Page Title