Castilla y Leon sep 2013 quimica Selectividad 2013 Cálculo de entalpía y calor

Castilla y Leon sep 2013 quimica Selectividad 2013 Cálculo de entalpía y calor

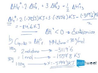
Si los vídeos te sirven de ayuda y quieres que continúe haciendo más ejercicios Suscríbete, dale a Me Gusta! y visita nuestra web . br br Enunciado del ejercicio resuelto: br PROBLEMA 1.- Dada la reacción del carburo cálcico con agua: br CaC2 (s) + H2O (l) → Ca(OH)2 (s) + C2H2 (g). br a) Calcula su variación de entalpía estándar.


User: Institweet

Views: 210

Uploaded: 2014-05-10

Duration: 04:59

Your Page Title