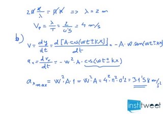
Calcula la longitud de onda y velocidad de propagación. Selectividad 2003 vibraciones madrid

Calcula la longitud de onda y velocidad de propagación. Selectividad 2003 vibraciones madrid

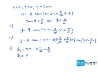
Si los vídeos te sirven de ayuda y quieres que continúe haciendo más ejercicios Suscríbete, dale a Me Gusta! y visita nuestra web . br br Enunciado del ejercicio resuelto: br El periodo de una onda transversal que se propaga en una cuerda tensa es 2.10-3 s.


User: Institweet

Views: 101

Uploaded: 2014-05-10

Duration: 04:03

Your Page Title