Calcule la velocidad y aceleracion en movimiento armónico simple

Calcule la velocidad y aceleracion en movimiento armónico simple

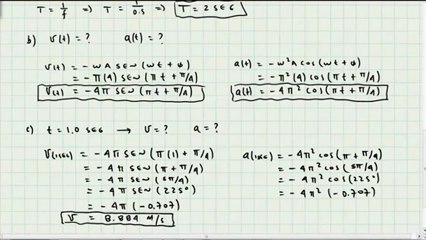
Cinemática del movimiento armónico simple. Si los vídeos te sirven de ayuda y quieres que continúe haciendo más ejercicios Suscríbete, dale a Me Gusta! y visita nuestra web . br br Enunciado del ejercicio resuelto: br Una partícula oscila según un movimiento armónico simple de 8 cm br de amplitud y 4 s de periodo. Calcula su velocidad y aceleración cuando la partícula pase por el centro de oscilación.


User: Institweet

Views: 330

Uploaded: 2014-05-10

Duration: 04:27

Your Page Title