Selectividad Madrid Junio 2013 Discutir un sistema de ecuaciones

Selectividad Madrid Junio 2013 Discutir un sistema de ecuaciones

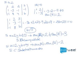
Si los vídeos te sirven de ayuda y quieres que continúe haciendo más ejercicios Suscríbete, dale a Me Gusta! y visita nuestra web . br br Enunciado del ejercicio resuelto: br Dado el sistema de ecuaciones lineales: br se pide: br a) (2 puntos) Discutirlo según los valores de a. br b) (0,5 puntos) Resolverlo en el caso a = 4. br c) (0,5 puntos) Resolverlo en el caso a = 2.


User: Institweet

Views: 4

Uploaded: 2014-06-13

Duration: 11:16

Your Page Title