Selectividad Madrid Matemáticas Junio 2011 Ecuación matricial

Selectividad Madrid Matemáticas Junio 2011 Ecuación matricial

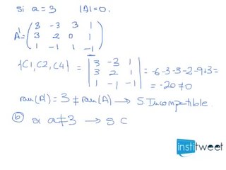
Si los vídeos te sirven de ayuda y quieres que continúe haciendo más ejercicios Suscríbete, dale a Me Gusta! y visita nuestra web . br br Enunciado del ejercicio resuelto: br Según los valores de m br b) (1 punto).


User: Institweet

Views: 14

Uploaded: 2014-06-12

Duration: 08:36

Your Page Title