Selectividad Madrid 2013 Operaciones con matrices y parametros

Selectividad Madrid 2013 Operaciones con matrices y parametros

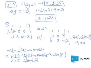
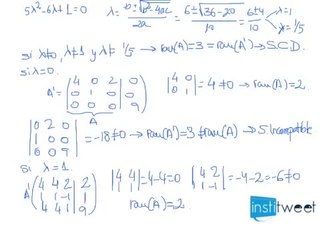
Si los vídeos te sirven de ayuda y quieres que continúe haciendo más ejercicios Suscríbete, dale a Me Gusta! y visita nuestra web . br br Enunciado del ejercicio resuelto: br Se pide: br a) (1 punto) Hallar el valor de λ para el cual la ecuación matricial X·A = B tiene solución única. br b) (1 punto) Calcular la matriz X para λ = 4.


User: Institweet

Views: 7

Uploaded: 2014-06-12

Duration: 14:28

Your Page Title