Campo gravitatorio Selectividad 2008 Física Madrid

Campo gravitatorio Selectividad 2008 Física Madrid

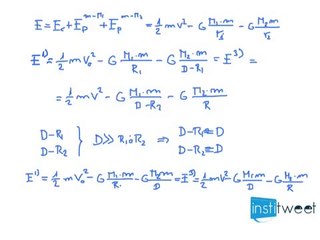
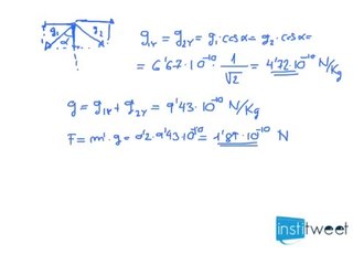
Campo gravitatorio Selectividad 2008 Física Madrid Si los vídeos te sirven de ayuda y quieres que continúe haciendo más ejercicios Suscríbete, dale a Me Gusta! y visita nuestra web . br br Enunciado del ejercicio resuelto: br Cuatro masas puntuales idénticas de 6 kg cada una están situadas en los vértices de un cuadrado de lado igual a 2 m. Calcule: br a) El campo gravitatorio que crean las cuatro masas en el centro de cada lado del cuadrado. br b) El potencial gravitatorio creado por las cuatro masas en el centro del cuadrado, tomando el infinito como origen de potenciales.


User: Institweet

Views: 7

Uploaded: 2014-06-12

Duration: 11:24

Your Page Title