Selectividad Campo eléctrico Madrid 2006

Selectividad Campo eléctrico Madrid 2006

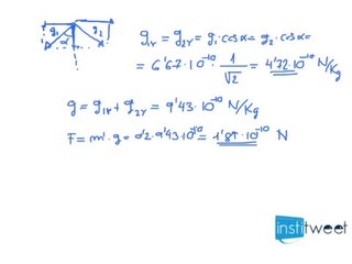
Selectividad Campo eléctrico Madrid 2006 Si los vídeos te sirven de ayuda y quieres que continúe haciendo más ejercicios Suscríbete, dale a Me Gusta! y visita nuestra web . br br Enunciado del ejercicio resuelto: br Una carga puntual de valor Q ocupa la posición (0,0) del plano XY en el vacío. En un punto A del eje X el br potencial es V = − −− −120 V y el campo eléctrico es E = − −− −80 i NC, siendo i el vector unitario en el sentido positivo del br eje X. Si las coordenadas están dadas en metros, calcule: br a) La posición del punto A y el valor de Q. br b) El trabajo necesario para llevar un electrón desde el punto B(2,2) hasta el punto A.


User: Institweet

Views: 70

Uploaded: 2014-06-12

Duration: 07:26

Your Page Title