Selectividad Madrid 2009 Física Vector campo eléctrico en dos puntos

Selectividad Madrid 2009 Física Vector campo eléctrico en dos puntos

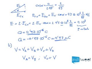
Selectividad Madrid 2009 Física Si los vídeos te sirven de ayuda y quieres que continúe haciendo más ejercicios Suscríbete, dale a Me Gusta! y visita nuestra web . br br Enunciado del ejercicio resuelto: br Dos cargas puntuales de —3 µC y +3 µC se encuentran situadas en el plano XY, en los puntos (—1,0) y (1,0) respectivamente. Determine el vector campo eléctrico: br a) En el punto de coordenadas (10,0). br b) En el punto de coordenadas (0,10).


User: Institweet

Views: 6

Uploaded: 2014-06-12

Duration: 14:09

Your Page Title