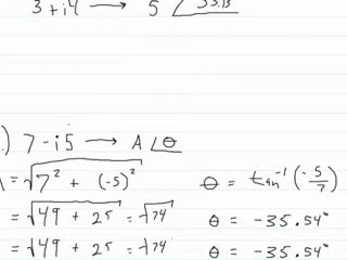
5.1(2) & A.4(1) Polar Coordinates & Complex Numbers 11-12-14

5.1(2) & A.4(1) Polar Coordinates & Complex Numbers 11-12-14


User: Mr. Hager

Views: 23

Uploaded: 2014-11-12

Duration: 42:59

Your Page Title