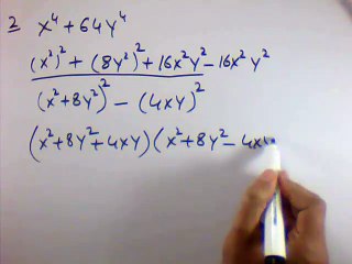
P-Math Class 9-Unit 5-Ex. 5.2-Q.4 (4)

P-Math Class 9-Unit 5-Ex. 5.2-Q.4 (4)

Class 9th-Mathematics-Punjab Board (Pakistan) []


User: Imran Fahim

Views: 595

Uploaded: 2014-11-22

Duration: 06:32