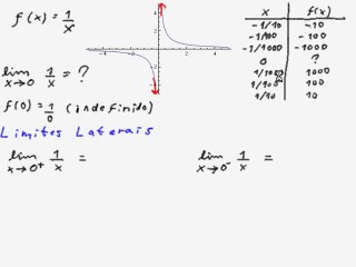
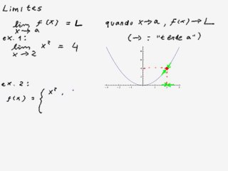
D1scovery na Escola - Conceitos de Pré Cálculo II (Limites, Infinito e Probrabilidade)

D1scovery na Escola - Conceitos de Pré Cálculo II (Limites, Infinito e Probrabilidade)


User: Cobol.engineering

Views: 29

Uploaded: 2015-02-17

Duration: 52:41