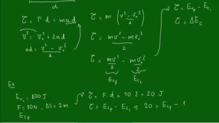
Energía Cinética - Física - Unidad 3

Energía Cinética - Física - Unidad 3


User: Plandeinclusioneducativa2

Views: 4

Uploaded: 2015-03-12

Duration: 00:29

Your Page Title