(G10 MTH AAAAI) Matric Maths Unit 1, Exercise 1.1, Q5, Q6 part 1,2,3

(G10 MTH AAAAI) Matric Maths Unit 1, Exercise 1.1, Q5, Q6 part 1,2,3

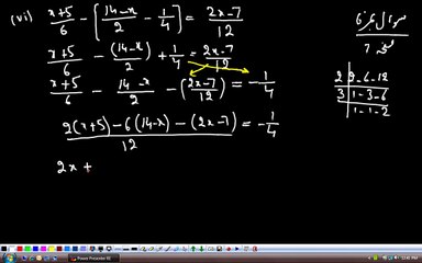
Maths Grade 10 br Punjab Text Book Board, Lahore, Pakistan. br Publication Date = April 2010 br Edition = 2 br Tibbat Print = 7 br Unit 1 br Topics covered = Exercise 1.


User: FT121212

Views: 21

Uploaded: 2015-03-13

Duration: 13:19

Your Page Title