(G10 MTH AAADV) Matric Maths Unit 2, Exercise 2.3, Q 1, 2, 3, 4

(G10 MTH AAADV) Matric Maths Unit 2, Exercise 2.3, Q 1, 2, 3, 4

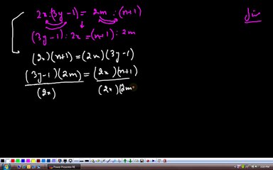
Maths Grade 10 br Punjab Text Book Board, Lahore, Pakistan. br Publication Date = April 2010 br Edition = 2 br Tibbat Print = 7 br Unit 2 br Topics covered = Exercise 2.


User: FT121212

Views: 1

Uploaded: 2015-03-18

Duration: 24:52

Your Page Title