(G10 MTH AAAEW) Matric Maths Unit 4, Exercise 4.1, Q 1 and 2

(G10 MTH AAAEW) Matric Maths Unit 4, Exercise 4.1, Q 1 and 2

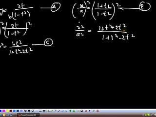
Maths Grade 10 br Punjab Text Book Board, Lahore, Pakistan. br Publication Date = April 2010 br Edition = 2 br Tibbat Print = 7 br Unit 4 br Topics covered = Exercise 4.


User: FT121212

Views: 1

Uploaded: 2015-03-22

Duration: 14:21