Calculus I - Intro to Derivatives Part 2 of 2.5 - The Derivative

Calculus I - Intro to Derivatives Part 2 of 2.5 - The Derivative

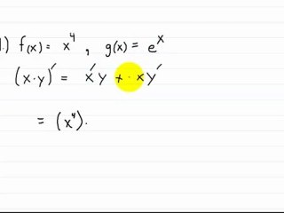
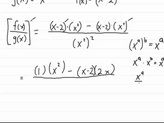
Introduction to derivatives, part 2 of 2.5. This video intuitively introduces the notion of a derivative and concludes with the definition.


User: The Infinite Looper

Views: 13

Uploaded: 2015-03-30

Duration: 13:06

Your Page Title