Calculus II - Integration by Parts - Example 2 (Definite)

Calculus II - Integration by Parts - Example 2 (Definite)

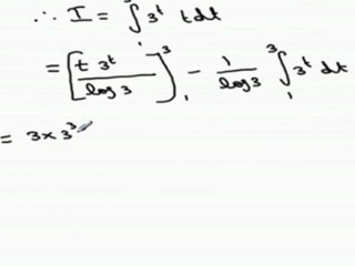
An example of integration by parts with a definite integral.


User: The Infinite Looper

Views: 2

Uploaded: 2015-03-31

Duration: 06:10

Your Page Title