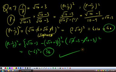
(G9 MTH ABN) Grade 9 Maths Unit 2, Exercise 2.5, Q 1-4

(G9 MTH ABN) Grade 9 Maths Unit 2, Exercise 2.5, Q 1-4

Punjab Text Book Board, Lahore, Pakistan. br Publication Date = Mar 2010 br Edition = 8 br Tibbat Print = 4 br Unit 2 br Topics covered = Exercise 2.


User: FT121212

Views: 2

Uploaded: 2015-04-15

Duration: 23:02