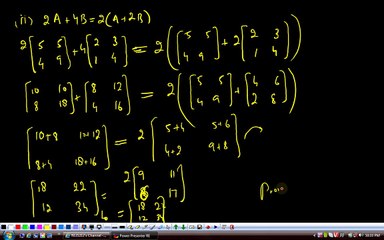
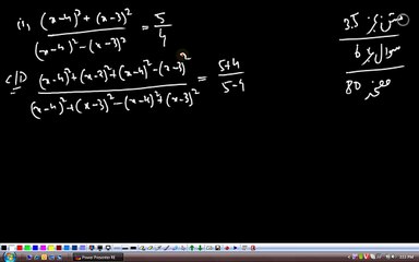
(G9 MTH ACE) Grade 9 Maths Unit 3, Exercise 3.5

(G9 MTH ACE) Grade 9 Maths Unit 3, Exercise 3.5

Punjab Text Book Board, Lahore, Pakistan. br Publication Date = Mar 2010 br Edition = 8 br Tibbat Print = 4 br Unit 3 br Topics covered = Exercise 3.


User: FT121212

Views: 4

Uploaded: 2015-04-24

Duration: 46:31

Your Page Title