(G9 MTH ACF) Grade 9 Maths Unit 3, Topic 3.6

(G9 MTH ACF) Grade 9 Maths Unit 3, Topic 3.6

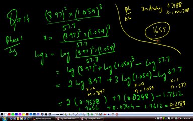
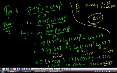
Punjab Text Book Board, Lahore, Pakistan. br Publication Date = Mar 2010 br Edition = 8 br Tibbat Print = 4 br Unit 3 br Topics covered = Topic 3.


User: FT121212

Views: 5

Uploaded: 2015-04-24

Duration: 14:22

Your Page Title