(G9 MTH ACN) Grade 9 Maths Unit 4, Topic 4.3 and Exercise 4.3

(G9 MTH ACN) Grade 9 Maths Unit 4, Topic 4.3 and Exercise 4.3

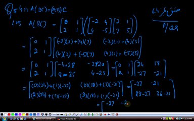
Punjab Text Book Board, Lahore, Pakistan. br Publication Date = Mar 2010 br Edition = 8 br Tibbat Print = 4 br Unit 4 br Topics covered = Topic 4.3 and Exercise 4.


User: FT121212

Views: 1

Uploaded: 2015-04-28

Duration: 15:59

Your Page Title