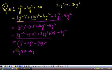
(G9 MTH ACY) Grade 9 Maths Unit 4, Examples on Algebraic Formulas on page 83

(G9 MTH ACY) Grade 9 Maths Unit 4, Examples on Algebraic Formulas on page 83

Punjab Text Book Board, Lahore, Pakistan.


User: FT121212

Views: 50

Uploaded: 2015-05-04

Duration: 16:35

Your Page Title