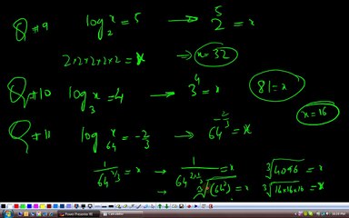
(G9 MTH ADN) Grade 9 Maths Unit 5, Exercise 5.6, Q 7-12

(G9 MTH ADN) Grade 9 Maths Unit 5, Exercise 5.6, Q 7-12

Punjab Text Book Board, Lahore, Pakistan. br Publication Date = Mar 2010 br Edition = 8 br Tibbat Print = 4 br Unit 5 br Topics covered = Exercise 5.


User: FT121212

Views: 1

Uploaded: 2015-05-27

Duration: 17:41

Your Page Title