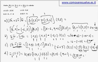
Vectores con calculadora Casio FX 570 ES

Vectores con calculadora Casio FX 570 ES

Vectores con calculadora Casio FX 570 ES


User: School

Views: 14

Uploaded: 2015-06-03

Duration: 04:22