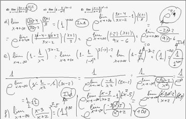
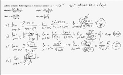
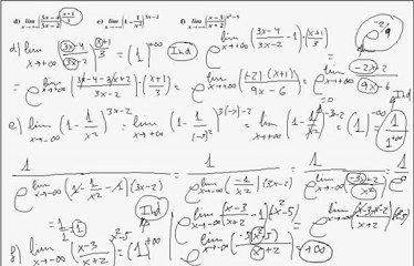
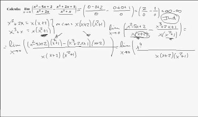
Limites no infinito e limites finitos - exercícios resolvidos

Limites no infinito e limites finitos - exercícios resolvidos

Limites no infinito e limites finitos - exercícios resolvidos


User: Hill Esteban

Views: 2

Uploaded: 2015-06-23

Duration: 16:58

Your Page Title