Fractional atomic masses, Empirical & molecular Formulas and Combustion Analysis

Fractional atomic masses, Empirical & molecular Formulas and Combustion Analysis

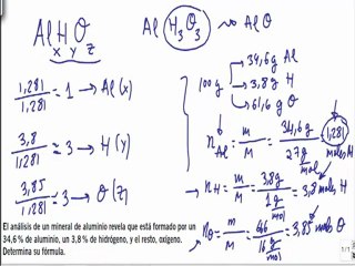
Fractional atomic masses br Empirical & molecular Formulas br Combustion Analysis br CHAPTER 1 br BASIC CONCEPTS br CH1-1(P4), br Fractional Atomic Masses br Empirical Formula br Molecular Formula br Combustion analysis


User: Punjab Group of Colleges

Views: 71

Uploaded: 2015-08-04

Duration: 13:12

Your Page Title