Exo de synthèse sur Parseval : 4/ Calcul de f(eff)^2 : a)Transformer de l intégrale

Exo de synthèse sur Parseval : 4/ Calcul de f(eff)^2 : a)Transformer de l intégrale

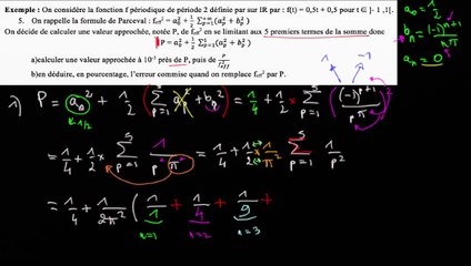
Voici un exercice complet avec au final une utilisation de la formule de Parseval. br br Niveau : post-bac(bts, iut, licence, master..


User: Mathenvideo

Views: 9

Uploaded: 2015-09-04

Duration: 03:29

Your Page Title